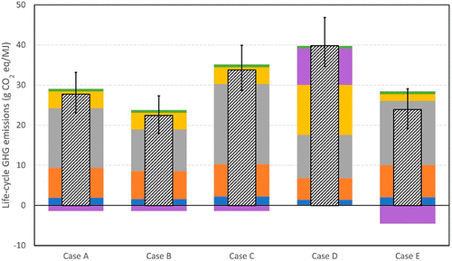
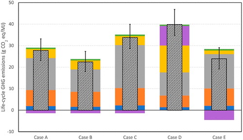
The processing of renewable resources into fuels and value-added products consisting of chemicals, materials, fuels, and coproducts is receiving renewed emphasis as a consequence of the science and technology that is improving our understanding of the complex and heterogeneous characteristics of biomass. The emphasis of the virtual special issue in ACS Sustainable Chemistry & Engineering […]

The processing of renewable resources into fuels and value-added products consisting of chemicals, materials, fuels, and coproducts is receiving renewed emphasis as a consequence of the science and technology that is improving our understanding of the complex and heterogeneous characteristics of biomass.
The emphasis of the virtual special issue in ACS Sustainable Chemistry & Engineering is on operational reliability as a function of how the harvesting practices and processing of biomass materials in the early stages of biorefining are carried out.
Combined with the continued development of more effectively grown and processed lignocellulosic feedstocks and the extraction of value-added products, the potential exists for continuous improvement of biomass processing and achieving the sustainable and economically attractive conversion of biomass to fuels, chemicals, and value-added products.
Read more in the issue’s editorial.
Featured Articles:
Signatures of Biologically Driven Hemicellulose Modification Quantified by Analytical Pyrolysis Coupled with Multidimensional Gas Chromatography Mass Spectrometry














