This week: developing artificial nacre, human sewage source-tracking tools, NADP+ recycling — and more! Each and every day, ACS grants free access to a new peer-reviewed research article from one of the Society’s journals. These articles are specially chosen by a team of scientific editors of ACS journals from around the world to highlight the transformative […]

This week: developing artificial nacre, human sewage source-tracking tools, NADP+ recycling — and more!
Each and every day, ACS grants free access to a new peer-reviewed research article from one of the Society’s journals. These articles are specially chosen by a team of scientific editors of ACS journals from around the world to highlight the transformative power of chemistry. Access to these articles will remain open to all as a public service.
Check out this week’s picks!
***
Interactions of Cationic/Anionic Mixed Surfactant Aggregates with Phospholipid Vesicles and Their Skin Penetration Ability

Langmuir, Article ASAP
DOI: 10.1021/acs.langmuir.6b04093
***
Separation of Isotopologues in Ultra-High-Resolution Ion Mobility Spectrometry

Anal. Chem., Article ASAP
DOI: 10.1021/acs.analchem.6b03300
***
Bio-Based Artificial Nacre with Excellent Mechanical and Barrier Properties Realized by a Facile In Situ Reduction and Cross-Linking Reaction

ACS Nano, Article ASAP
DOI: 10.1021/acsnano.6b05780
***
Integrated Multivariate Analysis with Nondetects for the Development of Human Sewage Source-Tracking Tools Using Bacteriophages of Enterococcus faecalis

Environ. Sci. Technol., Article ASAP
DOI: 10.1021/acs.est.6b04714
***
A Versatile Disulfide-Driven Recycling System for NADP+ with High Cofactor Turnover Number

ACS Catal., 2017, 7, pp 1025–1029
DOI: 10.1021/acscatal.6b03061
***
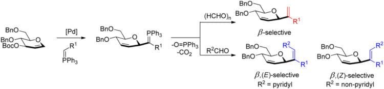
Palladium-Catalyzed Decarboxylative Allylation/Wittig Reaction: Substrate-Controlled Synthesis of C-Vinyl Glycosides

Org. Lett., Article ASAP
DOI: 10.1021/acs.orglett.6b03697
***
Pillared Structure Design of MXene with Ultralarge Interlayer Spacing for High-Performance Lithium-Ion Capacitors

ACS Nano, Article ASAP
DOI: 10.1021/acsnano.6b07668
***
Love ACS Editors’ Choice? Get a weekly e-mail of the latest ACS Editor’s Choice articles and never miss a breakthrough!